Pensioners reject 10% SSNIT increase, demand living wage, national dialogue
Concerned SSNIT Pensioners Forum (CSPF) has expressed dissatisfaction with the 10 per cent pension increment announced by the Social Security and National Insurance Trust (SSNIT) for 2026, describing the adjustment as inadequate.
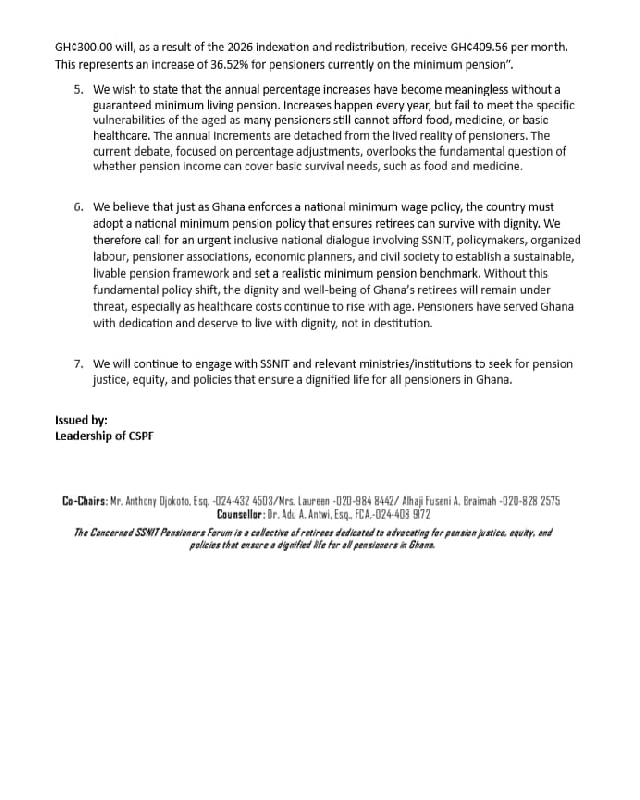
According to the group, the increase does not sufficiently address the erosion of pension values caused by inflation and the consistent gap between annual pension adjustments and the national minimum wage.
CSPF said it had earlier proposed a minimum monthly pension of GH¢600 and called for an average increase of between 15 and 20 per cent to help restore the real value of pensions.
The forum also questioned what it described as inconsistencies in SSNIT’s communication on minimum pension figures, referring to a statement issued on January 6, 2025, which indicated that the minimum monthly pension for 2025 stood at GH¢396.58.
In light of these concerns, CSPF has called for a national dialogue aimed at establishing a sustainable minimum pension framework that ensures retirees are able to live in dignity.
Read
![]()
![]()
Source: classfmonline.com
Trending News

CMG founder commends President Mahama for interdicting GNFS officers over assault on journalist
17:51
University charters should be optional, not punitive – Prof Gyamrah calls for stricter accreditation
20:01
Ghana must move away from a borrowing nation to a Wealth-Creating economy - Apostle Dr John Kpikpi
17:28
MPs, dignitaries attend final funeral rites of Ayawaso East MP at National Mosque
14:40
Afigya Kwabre South MCE promises major development drive in 2026
03:03
Prez. Mahama hands over 100 pickups to boost police operations
16:43
Tertiary education: Charters important but shouldn't be compulsory, says President Mahama
19:55
GJA urges IGP to prosecute officers accused of attacking Class FM reporter
16:28
Mahama assures GNAT of gov't support, condemns attacks on teachers
13:57
DVLA CEO assure motorists of new RFID number plate rollout as Legislative process nears completion
03:56


